
- 영국 바이오뱅크(UK Biobank) 약 20만 명 데이터 평균 13.1년 추적 결과
연세대학교 용인세브란스병원(병원장 김은경) 소화기내과 임태섭 교수, 내분비내과 김경민 교수 연구팀은 대사이상 지방간질환 환자의 악력이 약할수록, 심혈관 질환 발생 위험이 커진다는 사실을 대규모 장기 추적 데이터 분석을 통해 입증했다.
대사이상 지방간질환(MASLD)은 비만, 고혈압, 고지혈증, 당뇨 등의 대사이상이 있으면서 간 내에 지방이 과다하게 축적된 상태로, ‘비알코올성 지방간’으로 불리던 질환이다.
전 세계 인구 3명 중 1명에게 대사이상 지방간질환이 있다고 알려져 있으며, 그 유병률은 증가 추세이다.
심혈관 질환은 대사이상 지방간질환에서 사망의 가장 큰 원인을 차지하기 때문에 심혈관 질환 고위험군을 찾는 것은 매우 중요하다. 대사이상 지방간질환에서 근력 혹은 근육량의 감소가 심혈관 질환의 위험성을 높인다는 결과가 발표된 바 있으나, 대부분은 어느 한 시점만 들여다본 단면연구였다. 이에 연구팀은 대사이상 지방간질환에서 근력에 따라 실제 심혈관 질환의 발생 위험이 달라지는지 종단적 연구를 통해 알아보고자 했다.
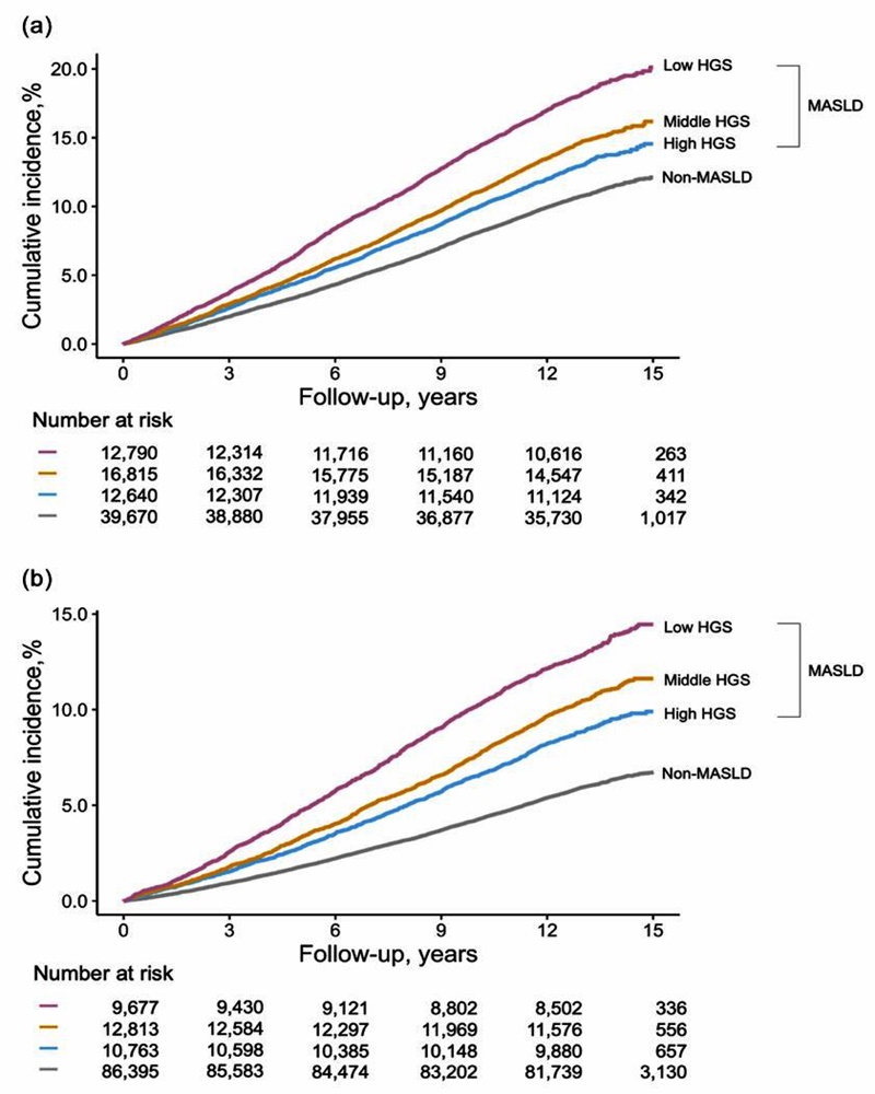
연구에는 영국 바이오뱅크(UK Biobank) 수검자 약 20만 명의 데이터를 활용했다.
근력 측정에는 전신 근력과 깊은 연관이 있는 악력을 활용했다.
대사이상 지방간질환은 간에 지방증이 있으면서 대사이상 요소 중 하나 이상을 갖고 있을 때로 정의했다. 심혈관 질환 발생은 국제질병분류 코드(ICD-10)의 진단명을 따랐다.
대사이상 지방간질환이 있는 수검자는 악력에 따라 낮은 악력, 중간 악력, 높은 악력으로 나눴고, 대사이상 지방간질환이 없는 수검자와 함께 심혈관 질환 발생의 차이를 분석했다.
평균 13.1년의 추적 관찰 결과, 심혈관 질환 발생 위험은 대사이상 지방간질환이 없는 집단에서 가장 낮았다. 이어 대사이상 지방간질환이 있는 집단 가운데 높은 악력, 중간 악력, 낮은 악력 순으로 심혈관 질환 발생 위험이 컸다. 이러한 결과는 남성과 여성 모두에게서 같았다.
다변량 분석을 통해 심혈관 질환 발생 위험 비율(Hazard ratio)을 확인한 결과, 대사이상 지방간이 없는 집단과 비교해 대사이상 지방간을 보유한 남성은 높은 악력(1.03), 중간 악력(1.14), 낮은 악력(1.38) 순서로, 대사이상 지방간을 보유한 여성은 높은 악력(1.07), 중간 악력(1.25), 낮은 악력(1.56) 순서로 심혈관 질환 발생 위험이 커졌다.
